5-硝基-2-糠醛二乙酸酯

結構式
| 物競編號 | 024W |
|---|---|
| 分子式 | C9H9NO7 |
| 分子量 | 243.17 |
| 標簽 |
5-硝基呋喃亞甲基二乙酯, 2-(乙酰基甲基)-5-硝基呋喃, 5-硝基糠醛二乙酰乙縮醛, 5-Nitro-2-furanmethandiol diacetate, 雜環化合物 |
編號系統
CAS號:92-55-7
MDL號:MFCD00003244
EINECS號:202-166-1
RTECS號:LU1940000
BRN號:255089
PubChem號:暫無
物性數據
1. 性狀:白色結晶性粉末或顆粒。
2. 密度(g/mL,25/4℃): 未確定
3. 相對蒸汽密度(g/mL,空氣=1):未確定
4. 熔點(oC):90~92
5. 沸點(oC,常壓):未確定
6. 沸點(oC,5.2kPa):未確定
7. 折射率:未確定
8. 閃點(oC): 未確定
9. 比旋光度(o):未確定
10. 自燃點或引燃溫度(oC):未確定
11. 蒸氣壓(kPa,25oC):未確定
12. 飽和蒸氣壓(kPa,60oC):未確定
13. 燃燒熱(KJ/mol):未確定
14. 臨界溫度(oC):未確定
15. 臨界壓力(KPa):未確定
16. 油水(辛醇/水)分配系數的對數值:未確定
17. 爆炸上限(%,V/V):未確定
18. 爆炸下限(%,V/V):未確定
19. 溶解性:未確定
毒理學數據
暫無
生態學數據
暫無
分子結構數據
1、 摩爾折射率:52.09
2、 摩爾體積(cm3/mol):174.1
3、 等張比容(90.2K):460.8
4、 表面張力(dyne/cm):49.0
5、 極化率(10-24cm3):20.65
計算化學數據
1.疏水參數計算參考值(XlogP):無
2.氫鍵供體數量:0
3.氫鍵受體數量:7
4.可旋轉化學鍵數量:5
5.互變異構體數量:無
6.拓撲分子極性表面積112
7.重原子數量:17
8.表面電荷:0
9.復雜度:308
10.同位素原子數量:0
11.確定原子立構中心數量:0
12.不確定原子立構中心數量:0
13.確定化學鍵立構中心數量:0
14.不確定化學鍵立構中心數量:0
15.共價鍵單元數量:1
性質與穩定性
低毒。微粒體突變試驗鼠傷寒菌10μg/平皿。參見糠醛。
貯存方法
本品應密封避光保存。
采用內襯塑料袋的鐵桶或膠合板桶包裝。貯存于陰涼、通風處。防潮、防曬。按一般化工產品規定貯運。
合成方法
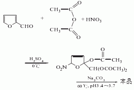
由糠醛經硝化、酯化而得。將乙酐加入反應鍋,降溫至-5℃,滴加加料量的1/5的混酸(硝酸與硫酸)后,再同時滴加硝酸與糠醛(1:2體積)的混合液,控制溫度在0℃左右,約5-6h加完,繼續滴加一部分糠醛。然后,攪拌1h,加水和碳酸鈉溶液,升溫至55-62℃,保溫1h。冷卻至15℃,過濾,用水洗滌,甩干即得成品,收率85%。

用途
是醫藥中間體,用于制呋喃類抗感染藥(痢特靈、呋喃西林、呋喃坦丁等)。
擴展閱讀https://www.bdmaee.net/catalyst-c-225/擴展閱讀https://www.bdmaee.net/wp-content/uploads/2022/08/60.jpg擴展閱讀https://www.bdmaee.net/fascat4350-catalyst/擴展閱讀https://www.newtopchem.com/archives/40004擴展閱讀https://www.newtopchem.com/archives/44300擴展閱讀https://www.cyclohexylamine.net/a300-catalyst-a300-catalyst-a-300/擴展閱讀https://www.cyclohexylamine.net/tertiary-amine-catalyst-xd-104-catalyst-xd-104/擴展閱讀https://www.bdmaee.net/delayed-amine-a-300/擴展閱讀https://www.cyclohexylamine.net/polyurethane-catalyst-polycat-sa-102-dbu-octoate/擴展閱讀https://www.cyclohexylamine.net/high-quality-246-trisdimethylaminomethylphenol-cas-90-72-2-dmp-30/

